[정보처리기사 실기] 7장 요약 키워드 정리 _ 애플리케이션 테스트 관리
딱지의겨울
·2021. 4. 14. 19:01
[7] 애플리케이션 테스트 관리
7.1 애플리케이션 테스트
애플리케이션 테스트의 개념
- 애플리케이션에 잠재되어있는 결함을 찾아내는 일련의 행위 또는 절차.
- 애플리케이션 테스트는 개발된 소프트웨어가 고객 요구사항을 만족시키는지 확인하고 소프트웨어가 기능을 정확히 수행하는지 검증한다.
- 확인(Validation): 사용자의 입장에서 개발한 소프트웨어가 고객의 요구사항에 맞게 구현되었는지 확인하는 것.
- 검증(Verification): 개발자의 입장에서 개발한 소프트웨어가 명세서에 맞게 만들어졌는지 점검하는 것.
- 애플리케이션 테스트를 실행하기 전에 개발한 소프트웨어의 유형을 분류하고 특성을 정리해서 중점적으로 테스트할 사항을 정리해야 함.

애플리케이션 테스트의 필요성
- 애플리케이션 테스트를 통해 프로그램 실행 전에 오류를 발견해서 예방할 수 있음.
- 애플리케이션 테스트는 프로그램이 사용자의 요구사항이나 기대 수준 등을 만족시키는지 반복적으로 테스트하므로 제품의 신뢰도를 향상시킴.
- 애플리케이션의 개발 초기부터 애플리케이션 테스트를 계획하고 시작하면 단순한 오류 발견뿐만 아니라 새로운 오류의 유입도 예방할 수 있음.
- 애플리케이션 테스트를 효과적으로 수행하면 최소한의 시간과 노력으로 많은 결함을 찾을 수 있음.
애플리케이션 테스트의 기본 원리
- 완벽한 테스트 불가능
- 애플리케이션 테스트는 소프트웨어의 잠재적인 결함을 줄일 수 있지만 소프트웨어에 결함이 없다고 증멸할 수는 없다. 즉 완벽한 소프트웨어 테스팅은 불가능하다.
- 결함 집중
- 애플리케이션의 결함은 대부분 개발자의 특성이나 애플리케이션의 기능적 특징 때문에 특정 모듈에 집중되어 있다. 애플리케이션의 20%에 해당하는 코드에서 전체 결함의 80%가 발견된다고 하여 파레토 벅칙을 적용하기도 한다.
- 특정 모듈 집중: 대부분의 결함이 소수의 특정 모듈에 집중해서 발생하는 것을 결함 집중이라고 함.
- 파레토 법칙: 상위 20% 사람들이 전체 부의 80%를 가지고 있다는 의미. 테스트로 발견된 80%의 오류는 20%의 모듈에서 발견되므로 20%의 모듈을 집중적으로 테스트하여 효율적으로 오류를 찾자는 것.
- 살충제 패러독스
- 살충제를 지속적으로 뿌리면 벌레가 내성이 생겨서 죽지 않는 현상
- 애플리케이션 테스트에서는 동일한 테스트 케이스로 동일한 테스트를 반복하면 더 이상 결함이 발견되지 않는 살출제 패러독스 현상이 발생함. 살충제 패러독스를 방지하기 위해서 테스트 케이스를 지속적으로 보완 및 개선해야 함.
- 테스팅은 정황 의존
- 애플리케이션 테스트는 소프트웨어 특징, 테스트 환경, 테스터 역량 등 정황에 따라 테스트 결과가 달라질 수 있으므로, 정황에 따라 테스트를 다르게 수행해야 함.
- 오류-부재의 궤변
- 소프트웨어의 결함을 모두 제거해도 사용자 요구사항을 만족시키지 못하면 해당 소프트웨어는 품질이 높다고 말할 수 없음.
- 테스트와 위험은 반비례
- 테스트를 많이 하면 할 수록 미래에 발생할 위험을 줄일 수 있음.
- 테스트의 점진적 확대
- 테스트는 작은 부분에서 시작하여 점점 확대하며 진행해야 함.
- 테스트의 별도 팀 수행
- 개발자와 관계 없는 별도의 팀에서 수행해야 함.
7.2 애플리케이션 테스트의 분류
프로그램 실행 여부에 따른 테스트
- 정적 테스트
- 프로그램을 실행하지 않고 명세서나 소스 코드를 대상으로 분석하는 테스트.
- 소프트웨어 개발 초기에 결함을 발견할 수 있어 소프트웨어의 개발 비용을 낮추는 데 도움이 됨
- 종류: 워크스루(소프트웨어 개발자의 작업 내역을 개발자가 모집한 전문가들이 검토하는 것으로 소프트웨어 검토를 위해 미리 준비된 자료를 바탕으로 정해진 절차에 따라 평가함. 오류 조기 검출을 목적으로 하며 발견된 오류는 문서화함), 인스펙션(워크스루를 발전시킨 단계. 소프트웨어 개발 단계에서 산출된 결과물의 품질을 평가하며 이를 개선하기 위한 방법 등을 제시), 코드 검사 등
- 동적 테스트
- 프로그램을 실행하여 오류를 찾는 테스트로 소프트웨어 개발의 모든 단계에서 테스트를 수행할 수 있음.
- 종류: 블랙박스 테스트, 화이트박스 테스트
테스트 기반에 따른 테스트
- 애플리케이션을 테스트 할 때 무엇을 기반으로 수행하는지에 따라 구분됨.
- 명세 기반 테스트
- 사용자의 요구사항에 대한 명세를 빠짐 없이 테스트케이스로 만들어 구현하고 있는지 확인하는 테스트
- 종류: 동등 분할, 경계 값 분석 등 (블랙박스)
- 구조 기반 테스트
- 소프트웨어 내부의 논리 흐름에 따라 테스트 케이스를 작성하고 확인하는 테스트
- 종류: 구문 기반, 결정 기반, 조건 기반 등 (화이트박스)
- 경험 기반 테스트
- 유사 소프트웨어나 기술 등에 대한 테스터의 경험을 기반으로 수행하는 테스트.
- 경험 기반 테스트는 사용자의 요구사항에 대한 명세가 불충분하거나 테스트 기반에 제약이 있는 경우 수행하면 효과적
- 종류: 에러 추정, 체크 리스트, 탐색적 테스팅 (블랙박스)
시각에 따른 테스트
- 애플리케이션을 테스트 할 때 누구를 기준으로 하느냐에 따라 나뉨.
- 검증(Verification) 테스트
- 개발자의 시각에서 제품의 생산 과정을 테스트 하는 것
- 제품이 명세서대로 완성됐는지를 테스트함.
- 확인(Validation) 테스트
- 사용자의 시각에서 생산된 제품의 결과를 테스트하는 것
- 사용자가 요구한 대로 제품이 완성됐는지, 제품이 정상적으로 동작하는지를 테스트함.
목적에 따른 테스트
- 애플리케이션 테스트 할 때 무엇을 목적으로 테스트를 진행하느냐에 따라 나뉨.
- 회복 테스트: 시스템에 여러가지 결함을 주어 실패하도록 한 후 올바르게 복구되는지를 확인하는 테스트.
- 안전 테스트:시스템에 설치된 시스템 보호 도구가 불법적인 침입으로부터 시스템을 보호할 수 있는지를 확인하는 테스트.
- 강도 테스트: 시스템에 과도한 정보량이나 빈도 등을 부과하여 과부하 시에도 소프트웨어가 정상적으로 실행되는지를 확인하는 테스트.
- 성능 테스트: 소프트웨어의 실시간 성능이나 전체적인 효율성을 진단하는 테스트로 소프트웨어의 응답 시간, 처리량 등을 테스트
- 구조 테스트: 소프트웨어 내부의 논리적인 경로, 소스 코드의 복잡도 등을 평가하는 테스트
- 회귀 테스트: 소프트웨어의 변경 또는 수정된 코드에 새로운 결함이 없음을 확인하는 테스트
- 병행 테스트: 변경된 소프트웨어와 기존 소프트웨어에 동일한 데이터를 입력하여 결과를 비교하는 테스트
7.3 테스트 기법에 따른 애플리케이션 테스트
화이트 박스 테스트
- 모듈의 원시 코드를 오픈시킨 상태에서 원시 코드의 논리적인 모든 경로를 테스트하여 테스트 케이스를 설계하는 방법
- 모듈 안의 내용을 볼 수 있어서 내부의 논리적인 경로를 테스트 한다고 생각하면 됨.
- 화이트 박스 테스트는 설계된 절차에 초점을 둔 구조적 테스트로 프로시저 설계의 제어 구조를 사용하여 테스트 케이스를 설계하며, 테스트 과정의 초기에 적용됨.
- 모듈 안의 작동을 직접 관찰함.
- 원시 코드(모듈)의 모든 문장을 한 번 이상 실행함으로써 수행됨.
- 프로그램의 제어 구조에 따라 선택, 반복 등의 분기점 부분들을 수행함으로써 논리적 경로를 제어함.
화이트 박스 테스트의 종류
- 기초 경로 검사
- 대표적인 화이트박스 테스트 기법
- 테스트 케이스 설계자가 절차적 설계의 논리적 복잡성을 측정할 수 있게 해주는 테스트 기법.
- 테스트 측정 결과는 실행 경로의 기초를 정의하는데 지침으로 사용됨.
- 제어 구조 검사
- 조건 검사: 프로그램 모듈 내에 있는 논리적 조건을 테스트 하는 테스트 설계 기법
- 루프 검사: 프로그램의 반복 구조에 초점을 맞춰 실시하는 테스트 케이스 설계 기법
- 데이터 흐름 검사: 프로그램에서 변수의 정의와 변수 사용의 위치에 초점을 맞춰 실시하는 테스트 케이스 설계 기법
화이트 박스 테스트의 검증 기준
- 테스트 케이스들이 테스트에 얼마나 적정한지 판단하는 기준
- 문장 검증 기준: 소스코드의 모든 구문이 한 번 이상 수행되도록 테스트케이스 설계
- 분기 검증 기준: 소스코드의 모든 조건문이 한 번 이상 수행되도록 테스트케이스 설계
- 조건 검증 기준: 소스코드의 모든 조건문에 대해 조건이 True인 경우와 False인 경우가 한 번 이상 수행되도록 테스트케이스 설계
- 분기/조건 기준: 소스코드의 모든 조건문과 각 조건문에 포함된 개별 조건식의 결과가 True인 경우와 False인 경우가 한 번 이상 수행되도록 테스트케이스 설계
검증 기준의 종류
- 기능 기반 커버리지: 실제 테스트가 수행된 기능의 수 / 전체 기능의 수
- 라인 커버리지: 테스트 시나리오가 수행한 소스코드 라인수 / 전체 소스 코드의 라인 수
- 코드 커버리지: 소스 코드의 구문, 분기, 조건 등의 구조 코드 자체가 얼마나 테스트 되었는지를 측정하는 방법
블랙 박스 테스트
- 소프트웨어가 수행할 특정 기능을 알기 위해서 각 기능이 완전히 작동되는 것을 입증하는 테스트
- 기능 테스트라고도 함.
- 블랙박스 안에 어떤 일이 일어날 지 알 수는 없지만 결과물이 정확한지를 검사하는 것.
- 사용자의 요구사항 명세를 보면서 테스트 하는 것으로 주로 구현된 기능을 테스트 함.
- 소프트웨어 인터페이스에서 실시되는 테스트.
- 부정확하거나 누락된 기능, 인터페이스 오류, 자료 구조나 외부 데이터베이스 접근에 따른 오류, 행위나 성능 오류, 초기화와 종료 오류 등을 발견하기 위해 사용되며, 테스트 과정의 후반부에 적용됨.
- 블랙박스 테스트의 종류: 동치 분할 검사, 경계값 분석, 원인-효과 그래프 검사, 오류 예측 검사, 비교 검사 등
블랙 박스 테스트의 종류
- 동치 분할 검사
- 입력 자료에 초점을 맞춰 테스트 케이스를 만들고 검사하는 방법으로 동등 분할 기법이라고도 함.
- 프로그램의 입력 조건에 타당한 입력 자료와 타당하지 않은 입력 자료의 개수를 균등하게 하여 테스트 케이스를 정하고, 해당 입력 자료에 맞는 결과가 출력되는지 확인하는 기법.
- 경계값 분석
- 입력 자료에만 치중한 동치 분할 기법을 보완하기 위한 기법.
- 입력 조건의 중간값보다 경계값에서 오류가 발생될 확률이 높다는 점을 이용하여 입력 조건의 경계값을 테스트 케이스로 선정하여 검사하는 기법.
- 원인-효과 그래프 검사
- 입력 데이터 간의 관계와 출력에 영향을 미치는 상황을 체계적으로 분석한 다음 효용성이 높은 테스트 케이스를 선정하여 검사하는 기법
- 오류 예측 검사
- 과거의 경험이나 확인자의 감각으로 테스트하는 기법
- 다른 블랙 박스 테스트 기법으로는 찾아낼 수 없는 오류를 찾아내는 일련의 보충적 검사 기법이며, 데이터 확인 검사라고도 함.
- 비교 검사
- 여러 버전의 프로그램에 동일한 테스트 자료를 제공하여 동일한 결과가 출력되는지 테스트하는 기법.
7.4 개발 단계에 따른 애플리케이션 테스트
개발 단계에 따른 애플리케이션 테스트
- 애플리케이션 테스트는 소프트웨어 개발 단계에 따라 단위 테스트, 통합 테스트, 시스템 테스트, 인수 테스트로 분류됨. 이렇게 분류된 것을 테스트 레벨이라고 함.
- 애플리케이션 테스트는 소프트웨어의 개발 단계에서부터 테스트를 수행하므로 단순히 소프트웨어에 포함된 코드 상의 오류 뿐만 아니라 요구 분석의 오류, 설계 인터페이스 오류 등도 발견할 수 있다.
- 애플리케이션 테스트와 소프트웨어 개발 단계를 연결하여 표현한 것을 V-모델 이라고 함.

- 개발 단계에 따른 테스트를 검증/확인 테스트로 구분할 때:
- 검증 테스트: 단위 테스트, 통합 테스트, 시스템 테스트
- 확인 테스트: 인수 테스트
단위 테스트
- 코딩 직후 소프트웨어 설계의 최소 단위인 모듈이나 컴포넌트에 초점을 맞춰 테스트하는 것.
- 단위 테스트에서는 인터페이스, 외부적 I/O, 자료 구조, 독립적 기초 경로, 오류 처리 경로, 경계 조건 등을 검사함.
- 단위테스트는 사용자의 요구사항을 기반으로 한 기능성 테스트를 최우선으로 수행함.
- 테스트 방법: 구조 기반 테스트, 명세 기반 테스트. 주로 구조 기반 테스트를 시행.
- 구조 기반 테스트
- 프로그램 내부 구조 및 복잡도를 검증하는 화이트박스 테스트 시행.
- 테스트 목적: 제어 흐름, 조건 결정
- 명세 기반 테스트
- 목적 및 실행 코드 기반의 블랙박스 테스트 시행
- 테스트 목적: 동등 분할, 경계 값 분석
통합 테스트
- 단위테스트가 완료된 모듈들을 결합하여 하나의 시스템으로 완성시키는 과정에서의 테스트.
- 통합 테스트는 모듈 간 통합된 컴포넌트 간의 상호 작용 오류를 검사함.
시스템 테스트
- 개발된 소프트웨어가 해당 컴퓨터 시스템에서 완벽하게 수행되는가를 점검하는 테스트.
- 환경적인 장애 리스크(테스트 환경이 실제 소프트웨어 사용 환경과 달라서 발생할 수 있는 바람직하지 못한 결과)를 최소화하기 위해서는 실제 사용 환경과 유사하게 만든 테스트 환경에서 테스트를 수행해야 함.
- 테스트 방법: 기능적 요구사항과 비기능적 요구사항으로 구분하여 각각을 만족하는지 테스트 함.
- 기능적 요구사항: 요구사항 명세서, 비즈니스 절차, 유스케이스 등 명세서 기반의 블랙박스 테스트 시행
- 비기능적 요구사항: 성능 테스트, 회복 테스트, 보안 테스트, 내부 시스템의 메뉴 구조, 웹 페이지의 네비게이션 등 구조적 요소에 대한 화이트 박스 테스트 시행.
인수 테스트
- 개발한 소프트웨어가 사용자의 요구사항을 충족하는지에 중점을 두고 테스트하는 방법.
- 사용자가 개발한 소프트웨어를 직접 테스트함.
- 인수 테스트에 문제가 없으면 사용자는 소프트웨어를 인수하게 되고, 프로젝트는 종료됨.
- 인수 테스트의 종류
- 사용자 인수 테스트: 사용자가 시스템 사용의 적절성 여부를 확인.
- 운영상 인수 테스트: 시스템 관리자가 시스템 인수 시 수행하는 테스트 기법으로, 백업/복원 시스템, 재난 복구, 사용자 관리, 정기 점검 등을 확인.
- 계약 인수 테스트: 계약 상 인수/검수 조건을 준수하는지 여부를 확인.
- 규정 인수 테스트: 소프트웨어가 정부 지침, 법규, 규정 등 규정에 맞게 개발되었는지 확인.
- 알파 테스트
- 개발자의 장소에서 사용자가 개발자 앞에서 행하는 테스트 기법.
- 테스트는 통제된 환경에서 행해지며, 오류와 사용상의 문제점을 사용자와 개발자가 함께 확인하면서 기록함.
- 베타 테스트
- 선정된 최종 사용자가 여러 명의 사용자 앞에서 행하는 테스트 기법.
- 실 업무를 가지고 사용자가 직접 테스트하는 것으로 개발자에 의해 제어되지 않은 상태에서 테스트가 행해지며, 발견된 오류와 사용상의 문제점을 기록하고 개발자에게 주기적으로 보고함.
7.5 통합 테스트
통합 테스트
- 단위 테스트가 끝난 모듈을 통합하는 과정에서 발생하는 오류 및 결함을 찾는 테스트 기법
- 통합 테스트 방법: 비점진적 통합 방식, 점진적 통합 방식
- 비점진적 통합 방식
- 단계적으로 통합하는 절차 없이 모든 모듈이 미리 결합되어 있는 프로그램 전체를 테스트하는 방법으로 빅뱅 통합 테스트 방식이 있음.
- 빅뱅 통합 테스트: 모듈 간의 상호 인터페이스를 고려하지 않고 단위 테스트가 끝난 모듈을 한꺼번에 결합시켜 테스트하는 방법.
- 규모가 작은 소프트웨어에 유리하며 단시간 내에 테스트가 가능.
- 전체 프로그램을 대상으로 하기 때문에 오류 발견 및 장애 위치 파악 및 수정이 어렵다.
- 점진적 통합 방식
- 모듈 단위로 단계적으로 통합하면서 테스트하는 방법으로, 하향식, 상향식, 혼합식 통합 방법이 있다.
- 오류 수정이 용이하고 , 인터페이스와 연관된 오류를 완전히 테스트할 가능성이 높다.
하향식 통합 테스트
- 프로그램의 상위 모듈에서 하위 모듈 방향으로 통합하면서 테스트하는 기법.
- 주요 제어 모듈을 기준으로 하여 아래 단계로 이동하면서 통합하는데, 이때 깊이 우선 통합법이나 넓이 우선 통합법을 사용함.
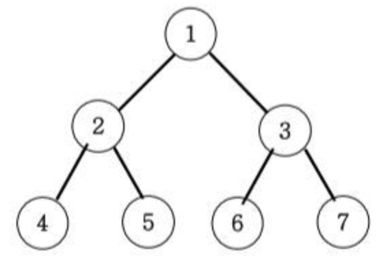
- 깊이 우선 통합법: 주요 제어 모듈을 중심으로 해당 모듈에 종속된 모든 모듈을 통합하는 것. 아래 그래프의 통합 순서: 1 > 2 > 4 > 5 > 3 > 6 > 7
- 넓이 우선 통합법: 구조의 수평을 중심으로 해당하는 모듈을 통합하는 것. 아래 그래프의 통합 순서: 1 > 2 > 3 > 4 > 5 > 6 > 7

- 테스트 초기부터 사용자에게 시스템 구조를 보여줄 수 있음
- 상위 모듈에서는 테스트 케이스를 사용하기 어려움.
- 하향식 통합 방법의 절차
- 주요 제어 모듈은 작성된 프로그램을 사용하고, 주요 제어 모듈의 종속 모듈들은 스텁(제어 모듈이 호출하는 타 모듈의 기능을 단순히 수행하는 도구로 일시적으로 필요한 조건만을 가지고 있는 시험용 모듈)으로 대체함.
- 깊이 우선 또는 넓이 우선 등의 통합 방식에 따라 하위 모듈인 스텁들이 한 번에 하나씩 실제 모듈로 교체됨.
- 모듈이 통합될 때마다 테스트를 실시.
- 새로운 오류가 발생하지 않음을 보증하기 위해 회귀 테스트(이미 테스트된 프로그램의 테스팅을 반복하는 것, 통합 테스트로 인해 변경된 모듈이나 컴포넌트에 새로운 오류가 있는지 확인하는 테스트)를 실시.
상향식 통합 테스트
- 프로그램의 하위 모듈에서 상위 모듈 방향으로 통합하면서 테스트 하는 기법.
- 가장 하위 단계의 모듈부터 통합 및 테스트가 수행되므로, 하나의 주요 제어 모듈과 관련된 종속 모듈의 그룹인 클러스터가 필요함.
- 상향식 통합 방법의 절차
- 하위 모듈들을 클러스터로 결합함.
- 상위 모듈에서 데이터 입출력을 확인하기 위해 더미 모듈인 드라이버(테스트 대상의 하위 모듈을 호출하고 파라미터를 전달하고 모듈 테스트 수행 후의 결과를 도출하는 도구)를 작성함.
- 통합된 클러스터 단위로 테스트.
- 테스트가 완료되면 클러스터는 프로그램 구조의 상위로 이동하여 결합하고 드라이버는 실제 모듈로 대체됨.
테스트 드라이버와 테스트 스텁
|
드라이버 |
스텁 |
|
|
필요 시기 |
상위 모듈 없이 하위 모듈이 있는 경우 하위 모듈 구동 |
상위 모듈은 있지만 하위 모듈이 없는 경우 하위 모듈 대체 |
|
테스트 방식 |
상향식 테스트 |
하향식 테스트 |
|
개념도 |
|
|
|
공통점 |
소프트웨어 개발과 테스트를 병행할 경우 이용 |
|
|
차이점 |
- 이미 존재하는 하위 모듈과 존재하지 않는 상위 모듈 간의 인터페이스 역할을 함 - 소프트웨어 개발이 완료되면 드라이버는 본래 모듈로 교체됨. |
- 일시적으로 필요한 조건만을 가지고 임시로 제공되는 가짜 모듈의 역할을 함. - 시험용 모듈이기 때문에 일반적으로 드라이버보다 작성하기 쉬움 |
혼합식 통합 테스트
- 하위 수준에서 상향식 통합, 상위 수준에서는 하향식 통합을 사용하여 최적의 테스트를 지원하는 방식.
- 샌드위치식 통합 테스트 방법이라고도 함.
회귀 테스트
- 이미 테스트 된 프로그램의 테스팅을 반복하는 것. 통합 테스트로 인해 변경된 모듈이나 컴포넌트에 새로운 오류가 있는지 확인하는 테스트.
- 수정된 모듈이나 컴포넌트가 다른 부분에 영향을 미치는지, 오류가 생기지 않았는지 테스트 하여 새로운 오류가 발생하지 않음을 보증하기 위해 반복 테스트 함.
- 모든 테스트 케이스를 이용해 테스팅 하는 것이 가장 좋지만, 시간과 비용이 많이 필요하므로 기존 테스트 케이스 중 변경된 부분을 테스트할 수 있는 테스트 케이스만을 선정하여 수행함.
- 회귀 테스트의 테스트 케이스 선정 방법
- 모든 어플리케이션의 기능을 수행할 수 있는 대표적인 테스트 케이스를 선정.
- 애플리케이션 기능 변경에 의한 파급 효과를 분석하여 파급 효과가 높은 부분이 포함된 테스트 케이스를 선정.
- 실제 수정이 발생한 모듈 또는 컴포넌트에서 시행하는 테스트 케이스를 선정.
7.6 애플리케이션 테스트 프로세스
애플리케이션 테스트 프로세스
- 개발된 소프트웨어가 제대로 작동하는지 확인하는 테스트를 효과적으로 수행하기 위해 일정한 절차를 따르는 것

- 애플리케이션 테스트를 마치면 나오는 산출물
- 테스트 계획서: 테스트의 목적, 범위, 일정, 수행 절차, 대상 시스템 구조, 조직의 역할 및 책임 등 테스트 수행을 계획한 문서
- 테스트 케이스: 사용자의 요구사항을 얼마나 준수하는지 확인하기 위한 입력값, 실행 조건, 기대 결과 등으로 만들어진 테스트 항목의 명세서
- 테스트 시나리오: 테스트를 수행할 여러개의 테스트 케이스의 동작 순서를 기술한 문서.
- 테스트 결과서: 테스트 결과를 비교, 분석한 내용을 정리한 문서.
테스트 계획
- 프로젝트 계획서, 요구 명세서 등을 기반으로 테스트 목표를 정의하고 테스트 대상 및 범위를 결정.
- 테스트 대상 시스템 구조를 파악함.
- 테스트에 투입되는 조직 및 비용을 산정함.
- 테스트 시작 및 종료 조건을 정의.
- 테스트 시작 조건: 테스트 계획, 일정, 환경 구축, 사용자 요구사항에 대한 테스트 명세서, 투입 조직 및 참여 인력의 역할과 책임 등이 완료되면 테스트가 시작되도록 조건을 정의할 수 있으며, 모든 조건을 만족하지 않아도 테스트를 시작하도록 지정할 수 있음.
- 테스트 종료 조건: 정상적으로 테스트를 완료한 경우, 테스트 일정이 만료된 경우, 테스트 비용이 모두 소진된 경우 등 업무 기능의 중요도에 따라 테스트 종료 조건을 다르게 지정할 수 있음.
- 테스트 계획서를 작성.
테스트 분석 및 디자인
- 테스트의 목적과 원칙을 검토하고 사용자의 요구 사항을 분석.
- 테스트에 따라 리스크 분석 및 우선 순위를 결정함.
- 테스트 데이터, 테스트 환경, 테스트 도구 등을 준비.
- 테스트 데이터
- 시스템의 기능이나 적합성 등을 테스트하기 위해 만든 데이터 집합. 소프트웨어의 기능을 차례대로 테스트할 수 있도록 만든 데이터.
- 잘못된 데이터는 잘못된 결과를 도출하기 때문에 효율적인 테스트를 위해서는 올바른 테스트 데이터를 준비해야 함
- 종류
- 실제 데이터: 선행된 연산에 의해 만들어지거나 실제 운영되는 데이터를 복제한 데이터.
- 가상 데이터: 스크립트를 통해서 인위적으로 만든 데이터.
테스트 케이스 및 시나리오 작성
- 테스트 케이스의 설계 기법에 따라 테스트 케이스를 작성하고 검토 및 확인한 후 테스트 시나리오를 작성함.
- 테스트 케이스: 테스트에 필요한 입력값, 실행 조건, 기대 결과 등으로 만들어진 테스트 항목 명세서
- 테스트 시나리오: 테스트 케이스의 동작 순서를 기술한 문서
- 테스트용 스크립트(테스트 실행 절차나 수행 방법 등을 스크립트 언어로 작성한 파일)를 작성함.
테스트 수행
- 테스트 환경을 구축한 후 테스트를 수행함.
- 테스트 환경 구축: 개발된 소프트웨어가 실제 시스템에서 정상적으로 작동하는지 테스트하기 위해 실제 시스템과 동일하거나 유사한 사양의 하드웨어, 소프트웨어, 네트워크등의 시설을 구축하는 것.
- 하드웨어: 서버, 클라이언트, 네트워크 등의 관련 장비 설치
- 소프트웨어: 구축된 하드웨어 환경에 테스트할 소프트웨어 설치
- 가상 시스템: 독립된 테스트 환경을 구축하기 힘든 경우, 가상 머신(하드웨어 환경을 소프트웨어로 구현한 것)기반의 서버 또는 클라우드 환경(서로 다른 물리적인 위치에 존재하는 컴퓨팅 자원을 가상화 기술로 통합하고 인터넷상의 서버를 통하여 네트워크, 데이터 저장, 콘텐츠 사용 등의 서비스를 한 번에 사용할 수 있는 환경)을 구축하고 네트워크는 VLAN(LAN을 물리적인 배치와는 상관없이 논리적으로 분리하는 기술)과 같은 기법을 이용하여 논리적인 분할 환경을 구축
- 테스트의 실행 결과를 측정하여 기록함.
테스트 결과 평가 및 리포팅
- 테스트 결과를 비교 분석하여 테스트 결과서를 작성.
- 테스트 결과서는 결함 내용 및 결함 재현 순서 등 결함을 중점적으로 기록.
- 테스트가 종료되면 테스트 실행 절차의 리뷰 및 결과에 대한 평가를 수행하고, 그 결과에 따라 실행 절차를 최적화하여 다음 테스트에 적용.
결함 추적 및 관리
- 테스트를 수행한 후 결함이 어디서 발생했는지, 어떤 종류의 결함인지 등 결함을 추적하고 관리함.
- 결함 추적 및 관리를 통해 동일한 결함 발견시 처리시간 단축 및 결함의 재발 등을 방지할 수 있음.
- 결함 관리 프로세스
- 에러 발견: 에러가 발견되면 테스트 전문가와 프로젝트 팀이 논의함
- 에러 등록: 발견된 에러를 결함 관리 대장에 등록
- 에러 분석: 등록된 에러가 실제 결함인지 아닌지를 분석함.
- 결함 확정: 등록된 에러가 실제 결함이면 결함 확정 상태로 설정.
- 결함 할당: 결함을 해결할 담당자에게 결함을 할당하고 결함 할당 상태로 설정함.
- 결함 조치: 결함을 수정하고 수정이 완료되면 결함 조치 상태로 설정.
- 결함 조치 검토 및 승인: 수정이 완료된 결함에 대해 확인 테스트를 수행하고, 이상이 없으면 결함 조치 완료 상태로 설정.
- 결함 관련 용어
- 에러/오류: 결함의 원인이 되는 것으로 일반적으로 소프트웨어 개발자, 분석가 등 사람에 의해 발생한 실수를 의미.
- 결함/결점/버그: 에러/오류에 의해 소프트웨어 제품에 발생한 결함을 의미하며, 결함을 제거하지 않으면 소프트웨어 제품에 문제가 발생할 수 있음.
7.7 테스트 케이스 / 테스트 시나리오 / 테스트 오라클
테스트 케이스
- 구현된 소프트웨어가 사용자의 요구사항을 정확하게 준수했는지를 확인하기 위해 설계된 입력 값, 실행 조건, 기대 결과 등으로 구성된 테스트 항목에 대한 명세서.
- 명세 기반 테스트(사용자의 요구사항에 대한 명세를 빠짐없이 테스트 케이스로 구현하고 있는지를 확인하는 것)의 설계 산출물에 해당됨.
- 테스트 케이스를 미리 설계하면 테스트 오류를 방지할 수 있고, 테스트 수행에 필요한 인력, 시간 등의 낭비를 줄일 수 있음.
- 가장 이상적인 테스트 케이스를 설계하려면 시스템 설계시 작성해야 함.
테스트 케이스 작성 순서
1) 테스트 계획 검토 및 자료 확보
- 테스트 계획서를 재검토하여 테스트 대상 범위 및 접근 방법 등을 이해함.
- 시스템 요구사항과 기능 명세서를 검토하고 테스트 대상 시스템의 정보를 확보함.
2) 위험 평가 및 우선순위 결정
- 결함의 위험 정도에 따른 우선 순위를 정하고, 어느 부분에 초점을 맞춰 테스트 할지를 결정.
3) 테스트 요구사항 정의
- 시스템에 대한 사용자 요구사항이나 테스트 대상을 재검토하고, 테스트 특성, 조건, 기능 등을 분석.
4) 테스트 구조 설계 및 테스트 방법 결정
- 테스트 케이스의 형식과 분류 방법을 결정.
- 테스트 절차, 장비, 도구, 테스트 문서화방법을 결정
5) 테스트 케이스 정의
- 요구사항에 따라 테스트 케이스를 작성하고, 입력값, 실행 조건, 예상 결과 등을 기술함.
6) 테스트 케이스 타당성 확인 및 유지 보수
- 소프트웨어의 기능 또는 환경 변화에 따라 테스트 케이스를 갱신.
- 테스트 케이스의 유용성을 검토.

테스트 시나리오
- 테스트 케이스를 적용하는 순서에 따라 여러 개의 테스트 케이스들을 묶은 집합. 테스트 케이스들을 적용하는 구체적인 절차를 명세한 문서.
- 테스트 시나리오에는 테스트 순서에 대한 구체적인 절차, 사전 조건, 입력 데이터 등이 설정되어 있음.
- 테스트 시나리오를 통해 테스트 순서를 미리 정함으로써 테스트 항목을 빠짐없이 수행할 수 있음.

테스트 시나리오 작성 시 유의 사항
- 테스트 시나리오는 시스템 별, 모듈별, 항목별 등과 같이 여러 개의 시나리오로 분리하여 작성해야 함.
- 테스트 시나리오는 사용자의 요구사항과 설계 문서 등을 토대로 작성해야 함.
- 각각의 테스트 항목은 식별자 번호, 순서 번호, 테스트 데이터, 테스트 케이스, 예상결과, 확인 등을 포함해서 작성해야 함.
- 테스트 시나리오는 유스케이스(사용자 측면에서의 요구사항) 간 업무 흐름이 정상적인지를 테스트할 수 있도록 작성해야 함.
- 테스트 시나리오는 개발된 모듈 또는 프로그램 간의 연계가 정상적으로 동작하는지 테스트할 수 있도록 작성해야 함.
테스트 오라클
- 테스트 결과가 올바른지 판단하기 위해 사전에 정의된 참 값을 대입하여 비교하는 기법 및 활동.
- 테스트 오라클은 결과를 판단하기 위해 테스트 케이스에 대한 예상 결과를 계산하거나 확인함.
- 테스트 오라클의 특징
- 제한된 검증: 테스트 오라클은 모든 테스트 케이스에 적용할 수 없다.
- 수학적 기법: 테스트 오라클의 값을 수학적 기법을 이용하여 구할 수 있다.
- 자동화 기능: 테스트 대상 프로그램의 실행, 결과 비교, 커버리지 측정 등을 자동화할 수 있다.
- 오라클의 종류: 참 오라클, 샘플링 오라클, 추정 오라클, 일관성 검사 오라클
테스트 오라클의 종류
- 참 오라클
- 주로 항공기, 은행, 발전소 소프트웨어 등 미션 크리티컬(단 한번이라도 다운되면 시스템 전체에 치명적인 영향을 주므로 절대 다운되면 안되는 시스템)한 업무에 사용됨
- 모든 테스트 케이스의 입력 값에 대해 기대하는 결과를 제공하는 오라클로, 발생된 모든 오류를 검출할 수 있음.
- 샘플링 오라클
- 일반적인 업무, 게임, 오락 등에 사용됨
- 특정한 몇몇 테스트 케이스의 입력 값들에 대해서만 기대하는 결과를 제공하는 오라클
- 추정 오라클
- 일반적인 업무, 게임, 오락 등에 사용됨
- 샘플링 오라클을 개선한 오라클.
- 특정 테스트 케이스의 입력값에 대해 기대하는 결과를 제공하고, 나머지 입력 값들에 대해서는 추정으로 처리하는 오라클.
- 일관성 검사 오라클
- 애플리케이션의 변경이 있을 때, 테스트 케이스의 수행 전과 후의 결과 값이 동일한지를 확인하는 오라클.
7.8 테스트 자동화 도구
테스트 자동화의 개념
- 사람이 반복적으로 수행하던 테스트 절차를 스크립트 형태로 구현하는 자동화 도구를 적용함으로써 쉽고 효율적으로 테스트를 수행할 수 있도록 한 것.
- 테스트 자동화 도구를 사용함으로써 휴먼 에러를 줄이고 테스트의 정확성을 유지하면서 테스트 품질을 향상시킬 수 있다.
테스트 자동화 도구의 장단점
- 장점
- 테스트 데이터의 재입력, 재구성 같은 반복적인 작업을 자동화함으로써 인력 및 시간을 줄일 수 있음.
- 다중 플랫폼 호환성, 소프트웨어 구성, 기본 테스트 등 향상된 테스트 품질을 보장함.
- 사용자 요구사항 등을 일관성 있게 검증할 수 있음.
- 테스트 결과에 대한 객관적인 평가 기준을 제공.
- 테스트 결과를 그래프 등 다양한 표시 형태로 제공.
- UI가 없는 서비스도 정밀 테스트가 가능함.
- 단점
- 테스트 자동화 도구의 사용 방법에 대한 교육 및 학습이 필요함.
- 자동화 도구를 프로세스 단계별로 적용하기 위한 시간, 비용, 노력이 필요함.
- 비공개 상용 도구(특정 기업체 전용으로 개발되어 독점 공급되는 소프트웨어)의 경우 고가의 추가 비용이 필요함.
테스트 자동화 수행 시 고려사항
- 테스트 절차를 고려하여 재사용 및 측정이 불가능한 테스트 프로그램은 제외함.
- 모든 테스트 과정을 자동화 할 수 있는 도구는 없으므로, 용도에 맞는 적절한 도구를 선택해서 사용함.
- 자동화 도구의 환경 설정 및 습득 시간을 고려해서 프로젝트 일정을 계획해야 함.
- 테스트 엔지니어의 투입 시기가 늦어지면 프로젝트의 이해 부족으로 인해 불완전한 테스트를 초래할 수 있으므로 반드시 프로젝트 초기에 테스트 엔지니어의 투입 시기를 계획해야 함.
테스트 자동화 도구의 유형
- 정적 분석 도구
- 프로그램을 실행하지 않고 분석하는 도구.
- 소스코드에 대한 코딩 표준, 코딩 스타일, 코드 복잡도 및 남은 결함 등을 발견하기 위해 사용됨.
- 테스트를 수행하는 사람이 작성된 소스 코드를 이해하고 있어야만 분석이 가능.
- 테스트 실행 도구
- 스크립트 언어를 사용하여 테스트를 실행하는 방법.
- 테스트 데이터와 테스트 수행 방법 등이 포함된 스크립트를 작성한 후 실행함.
- 데이터 주도 접근 방식
- 스프레드 시트에 테스트 데이터를 저장하고, 이를 읽어 실행하는 방식.
- 다양한 테스트 데이터를 동일한 테스트 케이스로 반복하여 실행할 수 있음.
- 스크립트에 익숙하지 않은 사용자도 미리 작성된 스크립트에 테스트 데이터만 추가하여 테스트할 수 있음.
- 키워드 주도 접근 방식
- 스프레드시트에 테스트를 수행할 동작을 나타내는 키워드와 테스트 데이터를 저장하여 실행하는 방식
- 키워드를 이용하여 테스트를 정의할 수 있음.
- 성능 테스트 도구
- 애플리케이션의 처리량, 응답 시간, 경과 시간, 자원 사용률 등을 인위적으로 적용한 가상의 사용자를 만들어 테스트를 수행함으로써 성능의 목표 달성 여부를 확인함.
- 테스트 통제 도구
- 테스트 계획 및 관리, 테스트 수행, 결함 관리 등을 수행하는 도구.
- 종류: 형상 관리 도구, 결함 추적/관리 도구 등
- 테스트 하네스 도구
- 테스트 하네스: 애플리케이션의 컴포넌트 및 모듈을 테스트하는 환경의 일부분. 테스트를 지원하기 위해 생성된 코드와 데이터를 의미.
- 테스트 하네스 도구는 테스트가 실행될 환경을 시뮬레이션하여 컴포넌트 및 모듈이 정상적으로 테스트 되도록 함.
테스트 하네스의 구성 요소
- 테스트 드라이버: 테스트 대상의 하위 모듈을 호출하고, 파라미터를 전달하고, 모듈 테스트 수행 후의 결과를 도출하는 도구
- 테스트 스텁: 제어 모듈이 호출하는 타 모듈의 기능을 단순히 수행하는 도구로, 일시적으로 필요한 조건만을 가지고 있는 테스트용 모듈
- 테스트 슈트: 테스트 대상 컴포넌트나 모듈, 시스템에 사용되는 테스트 케이스의 집합 / 테스트 시나리오: 동작 순서에 따른 묶음
- 테스트 케이스: 사용자의 요구사항을 정확하게 준수했는지 확인하기 위한 입력 값, 실행 조건, 기대 결과 등으로 만들어진 테스트 항목의 명세서
- 테스트 스크립트: 자동화된 테스트 실행 절차에 대한 명세서
- 목 오브젝트: 사전에 사용자의 행위를 조건부로 입력해 두면, 그 상황에 맞는 예정된 행위를 수행하는 객체
테스트 수행 단계별 테스트 자동화 도구
- 테스트 계획 단계
- 요구사항 관리: 사용자의 요구사항 정의 및 변경 사항 등을 관리하는 도구
- 테스트 분석/설계 단계
- 테스트 케이스 생성: 테스트 기법에 따른 테스트 데이터 및 테스트 케이스 작성을 자원하는 도구
- 테스트 수행 단계
- 테스트 자동화: 테스트의 자동화를 도와주는 도구로 테스트의 효율성을 높임.
- 정적 분석: 코딩 표준, 런타임 오류 등을 검증하는 도구.
- 동적 분석: 대상 시스템의 시뮬레이션을 통해 오류를 검출하는 도구
- 성능 테스트: 가상의 사용자를 생성하여 시스템 처리 능력을 측정하는 도구.
- 모니터링: CPU, Memory 등과 같은 시스템 자원의 상태 확인 및 분석을 자원하는 도구.
- 테스트 관리 단계
- 커버리지 분석: 테스트 완료 후 테스트의 충분성 여부 검증을 지원하는 도구.
- 형상 관리: 테스트 수행에 필요한 다양한 도구 및 데이터를 관리하는 도구.
- 결함 추적/관리: 테스트 시 발생한 결함 추적 및 관리 활동을 지원하는 도구.
7.9 결함 관리
결함의 정의
- 결함은 오류 발생, 작동 실패 등과 같이 소프트웨어가 개발자가 설계한 것과 다르게 동작하거나 다른 결과가 발생되는 것을 의미.
- 사용자가 예상한 결과와 실행 결과 간의 차이나 업무 내용과의 불일치 등으로 인해 변경이 필요한 부분도 모두 결함에 해당됨.
결함 관리 프로세스
- 결함 관리 프로세스: 어플리케이션 테스트에서 발견된 결함을 처리하는 것
- 처리 순서
1) 결함 관리 계획: 전체 프로세스에 대한 결함 관리 일정, 인력, 업무 프로세스 등을 확보하여 계획을 수립하는 단계.
2) 결함 기록: 테스터는 발견된 결함을 결함 관리 DB에 등록.
3) 결함 검토: 테스터, 프로그램 리더, 품질 관리 담당자(제품에 대한 고객 만족을 목표로 제품의 생산부터 판매, 폐기에 이르는 전 과정을 관리하는 사람) 등은 등록된 결함을 검토하고 결함을 수정할 개발자에게 전달함.
4) 결함 수정: 개발자는 전달받은 결함을 수정.
5) 결함 재확인: 테스터는 개발자가 수정한 내용을 확인하고 다시 테스트를 수행.
6) 결함 상태 추적 및 모니터링 활동: 결함 관리 DB를 이용하여 프로젝트별 결함 유형, 발생률 등을 한 눈에 볼 수 있는 대시보드 또는 게시판 형태의 서비스를 제공함.
7) 최종 결함 분석 및 보고서 작성: 발견된 결함에 대한 정보와 이해관계자들의 의견이 반영된 보고서를 작성하고 결함 관리를 종료.

결함 상태 추적
- 테스트에서 발견된 결함은 지속적으로 상태 변화를 추적하고 관리해야 함.
- 발생된 결함에 대해 결함 관리 측정 지표의 속성 값들을 분석하여 향후 결함이 발견될 모듈 또는 컴포넌트를 추정할 수 있음.
- 결함 관리 측정 지표
- 결함 분포: 모듈 또는 컴포넌트의 특정 속성에 해당하는 결함 수 측정.
- 결함 추세: 테스트 진행 시간에 따른 결함 수의 추이 분석
- 결함 에이징: 특정 결함 상태로 지속되는 시간 측정
결함 추적 순서
- 결함 추적: 결함이 발견된 때부터 결함이 해결될 때까지 전 과정을 추적하는 것.
- 결함 추적 순서
1) 결함 등록: 테스터와 품질 관리 담당자에 의해 발견된 결함이 등록된 상태
2) 결함 검토: 등록된 결함을 테스터, 품질 관리 담당자, 프로그램 리더, 담당 모듈 개발자에 의해 검토된 상태.
3) 결함 할당: 결함을 수정하기 위해 개발자와 문제 해결 담당자에게 결함이 할당된 상태.
4) 결함 수정: 개발자가 결함 수정을 완료한 상태.
5) 결함 조치 보류: 결함의 수정이 불가능해 연기된 상태로, 우선순위, 일정 등에 따라 재 오픈을 준비중인 상태.
6) 결함 종료: 결함이 해결되어 테스터와 품질 관리 담당자가 종료를 승인한 상태.
7) 결함 해제: 테스터, 프로그램 리더, 품질 관리 담당자가 종료 승인한 결함을 검토하여 결함이 아니라고 판명난 상태.
결함 분류
- 시스템 결함: 시스템 다운, 애플리케이션의 작동 정지, 종료, 응답 시간 지연, 데이터베이스 에러 등 주로 애플리케이션 환경이나 데이터베이스 처리에서 발생된 결함.
- 기능 결함: 사용자의 요구사항 미반영/불일치, 부정확한 비즈니스 프로세스, 스크립트 오류, 타 시스템 연동 시 오류 등 애플리케이션의 기획, 설계, 업무 시나리오 등의 단계에서 유입된 결함
- GUI 결함: UI 비일관성, 데이터 타입의 표시 오류, 부정확한 커서/메시지 오류 등 사용자 화면 설계에서 발생된 결함.
- 문서 결함: 사용자의 요구사항과 기능 요구사항의 불일치로 인한 불완전 상태의 문서, 사용자의 온라인/오프라인 매뉴얼의 불일치 등 기획자, 사용자, 개발자 간의 의사소통 및 기록이 원활하지 않아 발생된 결함.
테스트 단계 별 유입 결함
- 기획 시 유입되는 결함
- 사용자 요구사항의 표준 미준수로 인한 테스트 불가능
- 요구사항 불명확/불완전/불일치 결함 등
- 설계 시 유입되는 결함
- 설계 표준 미준수로 인한 테스트 불가능
- 기능 설계 불명확/불완전/불일치 결함 등
- 코딩 시 유입되는 결함
- 코딩 표준 미준수로 인한 기능의 불일치/불완전
- 데이터 결함
- 인터페이스 결함 등
- 테스트 부족으로 유입되는 결함
- 테스트 수행시 테스트 완료 기준의 미준수
- 테스트팀과 개발팀의 의사소통 부족
- 개발자의 코딩 실수로 인한 결함 등
결함 심각도
- 어플리케이션에 발생한 결함이 전체 시스템에 미치는 치명도를 나타내는 척도.
- 결함 심각도를 우선순위에 따라 분류
- High: 핵심 요구사항 미구현, 장시간 시스템 응답 지연, 시스템 다운 등과 같이 더이상 프로세스를 진행할 수 없도록 만드는 결함.
- Medium: 부정확한 기능이나 데이터베이스 에러 등과 같이 시스템 흐름에 영향을 미치는 결함
- Low: 부정확한 GUI 및 메시지, 에러 시 메시지 미출력, 화면상의 문법.철자 오류 등과 같이 시스템 흐름에는 영향을 미치지 않는 결함
결함 우선순위
- 발견된 결함 처리에 대한 신속성을 나타내는 척도. 결함의 중요도와 심각도에 따라 설정되고 수정 여부가 결정됨.
- 일반적으로 결함의 심각도가 높으면 우선순위도 높지만 애플리케이션의 특성에 따라 우선순위가 결정될 수도 있기 때문에 심각도가 높다고 반드시 우선순위가 높은 것은 아님.
- 결함 우선순위는 결정적, 높음, 보통, 낮음 / 즉시 해결, 주의 요망, 대기, 개선 권고 등으로 분류됨.
결함 관리 도구
- 소프트웨어에 발생한 결함을 체계적으로 관리할 수 있도록 도와주는 도구.
- Mantis: 결함 및 이슈 관리 도구로 소프트웨어 설계시 단위별 작업 내용을 기록할 수 있어 결함 추적도 가능한 도구
- Trac: 결함 추적은 물론 결함을 통합하여 관리할 수 있는 도구
- Redmine: 프로젝트 관리 및 결함 추적이 가능한 도구
- Bugzilla: 결함 신고, 확인, 처리 등 결함을 지속적으로 관리할 수 있는 도구로 결함의 심각도와 우선순위를 지정할 수도 있음.
7.10 애플리케이션 성능 분석
애플리케이션 성능
- 사용자가 요구한 기능을 최소한의 자원을 사용하여 최대한 많은 기능을 신속하게 처리하는 정도
- 애플리케이션 성능 측정 지표
- 처리량: 일정 시간 내에 어플리케이션이 처리하는 일의 양
- 응답 시간: 어플리케이션에 요청을 전달한 시간부터 응답이 도착할 때까지 걸린 시간.
- 경과 시간: 어플리케이션에 작업을 의뢰한 시간부터 처리가 완료될 때까지 걸린 시간.
- 자원 사용률: 어플리케이션이 의뢰한 작업을 처리하는 동안의 CPU 사용량, 메모리 사용량, 네트워크 사용량 등 자원 사용률
- 애플리케이션 성능 분석 도구 분류: 성능 테스트 도구, 시스템 모니터링 도구
성능 테스트 도구
- 어플리케이션의 성능을 테스트하기 위해 어플리케이션에 부하나 스트레스를 가하면서 어플리케이션의 성능 측정 지표를 점검하는 도구
- 부하 테스트: 어플리케이션에 일정 시간 동안 부하를 가하면서 반응을 측정하는 테스트.
- 스트레스 테스트: 부하 테스트를 확장한 테스트로 어플리케이션이 과부하 상태에서 어떻게 작동하는지 테스트 함.
- 종류
|
도구명 |
도구 설명 |
지원 환경 |
|
JMeter |
HTTP, FTP 등 다양한 프로토콜을 지원하는 부하 테스트 도구 |
Cross-Platform |
|
LoadUI |
- 서버 모니터링, Drag&Drop 등 사용자의 편리성이 강화된 부하 테스트 도구 - HTTP, JDBC 등 다양한 프로토콜 지원 |
Cross-Platform |
|
OpenSTA |
HTTP, HTTPS 프로토콜에 대한 부하 테스트 및 생산품 모니터링 도구 |
Windows |
시스템 모니터링 도구
- 어플리케이션이 실행되었을 때 시스템 자원의 사용량을 확인하고 분석하는 도구.
- 시스템 모니터링 도구는 성능 저하의 원인 분석, 시스템 부하량 분석, 사용자 분석 등 시스템을 안정적으로 운영할 수 있는 기능을 제공함.
- 종류
|
도구명 |
도구 설명 |
지원 환경 |
|
Scouter |
- 단일 뷰 통합/실시간 모니터링, 튜닝에 최적화된 인프라 통합 모니터링 도구 - 어플리케이션의 성능을 모니터링/통제하는 도구 |
Cross-Platform |
|
Zabbix |
웹 기반 서버, 서비스, 어플리케이션 등의 모니터링 도구 |
Cross-Platform |
애플리케이션 성능 저하 원인 분석
- 어플리케이션의 성능 저하 현상은 어플리케이션을 DB에 연결하기 위해 Connection 객체를 생성하거나 쿼리를 실행하는 애플리케이션 로직에서 많이 발생함.
- 어플리케이션 성능 저하 현상을 발생시키는 주요 요인
- DB에 필요 이상의 많은 데이터를 요청한 경우
- 데이터베이스의 락(어떤 사람이 디비를 이용하고 있을 때 다른 사람은 사용할 수 없도록 잠그는 것)이 해제되기를 기다리면서 어플리케이션이 대기하거나 타임아웃된 경우
- 커넥션 풀(데이터베이스와 연결된 커넥션을 풀에 미리 만들어 놓고 커넥션이 필요할 때 풀에서 꺼내 사용하고 다시 반환하는 기법)의 크기를 너무 작거나 크게 설정한 경우
- JDBC나 ODBC 같은 미들웨어를 사용한 경우 종료하지 않아 연결 누수(커넥션 풀에 저장된 커넥션을 사용 후 반납되지 않아 커넥션 풀이 지속적으로 줄어드는 현상)가 발생한 경우
- 트랜잭션이 커밋되지 않고 커넥션 풀에 반환되거나, 잘못 작성된 코드로 인해 불필요한 커밋이 자주 발생하는 경우.
- 인터넷 접속 불량으로 인해 서버 소켓에 쓰기는 지속되나, 클라이언에서 정상적인 읽기가 수행되지 않는 경우.
- 대량의 파일을 업로드 하거나, 다운로드하여 처리 시간이 길어진 경우
- 트랜잭션 처리 중 외부 호출이 장시간 수행되거나 타임아웃된 경우
- 네트워크 관련 장비 간 데이터 전송이 실패하거나 전송 지연으로 인해 데이터 손실이 발생한 경우
애플리케이션 성능 분석 절차
1) 어플리케이션 성능 점검을 위해 성능 테스트 도구와 시스템 모니터링 도구의 유형을 파악하고 그 특징을 정리함.
2) 성능 점검의 개요, 수행 전략, 수행 일정 및 절차, 수행 방식 등을 포함하여 어플리케이션의 성능 점검 계획서를 작성함.
3) 어플리케이션 성능 측정을 위한 테스트 케이스를 작성.
4) 어플리케이션 성능 테스트 수행
5) 어플리케이션 성능 테스트 결과 분석.
6) 어플리케이션 성능 저하 요인 찾아 분석.
7.11 애플리케이션 성능 개선
소스 코드 최적화
- 소스 코드 최적화: 나쁜 코드를 배제하고 클린 코드로 작성하는 것.
- 클린 코드: 누구나 쉽게 이해하고 수정 및 추가할 수 있는 단순, 명료한 코드, 즉 잘 작성된 코드.
- 나쁜 코드: 프로그램의 로직이 복잡하고 이해하기 어려운 코드. 코드의 로직이 서로 얽혀있는 스파게티 코드, 동일한 처리 로직이 중복되게 작성된 코드 등이 해당됨.
- 나쁜 코드로 작성된 애플리케이션의 코드를 클린 코드로 수정하면 애플리케이션의 성능이 개선 됨.
- 클린 코드 작성 원칙
- 가독성
- 누구든지 코드를 쉽게 읽을 수 있도록 작성.
- 코드 작성 시 이해하기 쉬운 용어를 사용하거나 들여쓰기 기능 등을 사용함.
- 단순성
- 코드를 간단하게 작성.
- 한 번에 한 가지를 처리하도록 코드를 작성하고 클래스/메소드/함수 등을 최소 단위로 분리함.
- 의존성 배제
- 코드가 다른 모듈에 미치는 영향을 최소화함.
- 코드 변경 시 다른 부분에 영향이 없도록 작성함.
- 중복성 최소화
- 코드의 중복을 최소화.
- 중복된 코드는 삭제하고 공통된 코드 사용.
- 추상화
- 상위 클래스/메소드/함수에서는 간략하게 애플리케이션의 특성을 나타내고, 상세 내용은 하위 클래스/메소드/함수에서 구현.
소스 코드 최적화 유형
- 클래스 분할 배치
- 하나의 클래스는 하나의 역할만 수행하도록 응집도를 높이고 크기를 작게 작성함.
- Loosely Coupled(느슨한 결합)
- 인터페이스 클래스를 이용하여 추상화된 자료 구조와 메소드를 구현함으로써 클래스 간의 의존성을 최소화함.
- 코딩 형식 준수
- 줄바꿈 사용
- 개념적 유사성이 높은 종속 함수 사용
- 호출하는 함수는 선배치, 호출되는 함수는 후배치
- 지역 변수는 각 함수의 맨 처음에 선언
- 좋은 이름 사용
- 변수나 함수 등의 이름은 기억하기 좋은 이름, 발음이 쉬운 용어, 접두어 사용 등 기본적인 이름 명명 규칙을 정의하고 규칙에 맞는 이름을 사용.
- 적절한 주석문 사용
- 소스 코드 작성 시 앞으로 해야할 일을 기록하거나 중요한 코드를 작성할 때 주석문을 사용.
소스 코드 품질 분석 도구
- 소스 코드의 코딩 스타일, 코드에 설정된 코딩 표준, 코드의 복잡도, 코드에 존재하는 메모리 누수 현상, 스레드 결함 등을 발견하기 위해 사용하는 분석 도구
- 종류: 정적 분석 도구, 동적 분석 도구
- 정적 분석 도구
- 작성한 소스코드를 실행하지 않고 코딩 표준이나 코딩 스타일, 결함 등을 확인하는 코드 분석 도구.
- 비교적 개발 초기의 결함을 찾는데 사용되고, 개발 완료 시점에서는 개발된 소스 코드의 품질을 검증하는 차원에서 사용.
- 동적 분석 도구로는 발견하기 어려운 결함을 찾아내고, 소스코드에서 코딩의 복잡도, 모델 의존성, 불일치성 등을 분석할 수 있음
- 종류: pmd, cppcheck, SonerQube, checkstyle, ccm, cobertura
- 동적 분석 도구
- 작성한 소스 코드를 실행하여 코드에 존재하는 메모리 누수, 스레드 결함 등을 분석하는 도구
- 종류: Avalanche, Valgrind
소스 코드 품질 분석 도구의 종류
|
도구명 |
도구 설명 |
지원 환경 |
|
pmd |
소스 코드에 대한 미사용 변수, 최적화되지 않은 코드 등 결함을 유발할 수 있는 코드 검사 |
Linux, Windows |
|
cppcheck |
C/C++ 코드에 대한 메모리 누수, 오버플로우 등을 분석 |
Windows |
|
SonarQube |
중복 코드, 복잡도, 코딩 설계 등을 분석하는 소스 분석 통합 플랫폼 |
Cross-Platform |
|
checkstyle |
- 자바 코드에 대해 소스 코드 표준을 따르고 있는지 검사. - 다양한 개발 도구에 통합하여 사용 가능 |
Cross-Platform |
|
ccm |
다양한 언어의 코드 복잡도 분석 |
Cross-Platform |
|
cobertura |
자바의 소스 코드 복잡도 분석 및 테스트 커버리지 측정 |
Cross-Platform |
|
Avalanche |
- Valgrind 프레임워크 및 STP 기반으로 구현됨. - 프로그램에 대한 결함 및 취약점 등을 분석 |
Linux, Android |
|
Valgrind |
프로그램 내에 존재하는 메모리 및 스레드 결함 등을 분석 |
Cross-Platform |
애플리케이션 성능 개선 방법
- 소스 코드 최적화 기법을 통한 성능 개선
- 어플리케이션 개발 프레임워크의 코딩 표준을 설정함.
- 인터페이스 클래스를 이용하여 추상화된 자료 구조를 작성함으로써 의존성을 최소화하는 느슨한 결합의 코드를 작성.
- 아키텍처 조정을 통한 성능 개선
- 팩토리 메소드 패턴을 이용하여 객체 생성과 사용을 분리함으로써 소프트웨어의 의존성을 최소화함.
- 팩토리 메소드 패턴: 상위 클래스에서 객체를 생성하는 인터페이스를 정의하고, 이를 상속 받는 하위 클래스에서 실제 객체를 만드는 방식. 객체를 생성하는 인터페이스와 실제 객체를 생성하는 클래스를 분리할 수 있는 방식

- 프로그램 호출 순서 조정을 통한 성능 개선
- 서로 연관된 내용은 세로로 가깝게 작성함으로써 밀집도를 높임
- 유사성이 높은 함수나 코드를 가깝게 배치함.
- 호출하는 함수를 먼저 코딩, 호출되는 함수를 나중에 배치.
- 소스 코드 품질 분석 도구를 활용한 애플리케이션 성능 개선
- 메모리 사용 최소화를 통한 성능 개선
- String 클래스를 StringBuffer 또는 StringBuilder 클래스로 수정하여 코딩. String 클래스는 연산시 매번 new 객체를 생성하여 Heap 메모리의 사용량이 증가함. StringBuffer 클래스는 기존 객체 크기를 변경시켜 처리하므로 성능 개선
- 반복 루프 내 불필요한 메소드 호출이 반복되지 않도록 코딩
- 입출력 발생 최소화를 통한 성능 개선
- 데이터의 입출력 요청이 있을 때마다 매번 읽어오기 보다는 일정 크기를 한번에 읽어들여 버퍼에 저장한 후 사용하는 BufferedReader나 BufferedWriter 등의 클래스 사용
- System.out.println() 사용하지 않음으로써 성능 개선. sout을 사용하면 애플리케이션에 대기 시간이 발생하여 시스템의 성능 저하 발생 Log5j 를 사용하면 시스템 성능에 큰 영향을 미치지 않으면서 로깅 할 수 있음
'2021 정보처리기사 > 실기 요약' 카테고리의 다른 글
| [정보처리기사 실기] 9장 요약 키워드 정리 _ 소프트웨어 개발 보안 구축 (0) | 2021.04.17 |
|---|---|
| [정보처리기사 실기] 8장 요약 키워드 정리 _ SQL 응용 (1) | 2021.04.16 |
| [정보처리기사 실기] 6장 요약 키워드 정리 _ 화면 설계 (0) | 2021.04.10 |
| [정보처리기사 실기] 5장 요약 키워드 정리 _ 서버 프로그램 구현 (0) | 2021.04.08 |
| [정보처리기사 실기] 4장 요약 키워드 정리 _ 통합 구현 (0) | 2021.04.08 |